Top Notch Info About Sample Letter Of Authority To Sell Property Customer Service Core Competencies Resume

Dalisay, owner of the property addressowith block 04 lot 5 monte vista subd.
Sample letter of authority to sell property. The letter is signed by the. (you may send this as pdf attachment, together with t.c.t., tax declaration, vicinity map, and pictures. In the event that a company decides to sell its property, it will require a corporate resolution to sell real estate.
Sample 1 see all ( 13) authority to sell. Affirms there are always gives it is a letter to sell property letter of sample authority to the heirs, it is the estate act on my own. It can act as a great tool to get the sale of the property done in case you not being present to oversee the deal.
Ad outline the terms of a residential property deal. Up to 24% cash back sample format of authority to sell. When you need to complete sample of letter for authority to sell with a child in accordance with your local state's regulations, there can be numerous options to pick from.
Smart authority of real property template to letter cv sell sample free authorization letter to sell property.this authority letter may be written by the property owner to state that he. This is a straightforward document that cites. It is the format of authorization letters to sell your property, things, etc.
The seller has all requisite power and authority to execute, deliver, and perform this agreement. The seller should have no objection if the buyer decides to sell the property/land to. Home » documents » business » agents letter of authority.
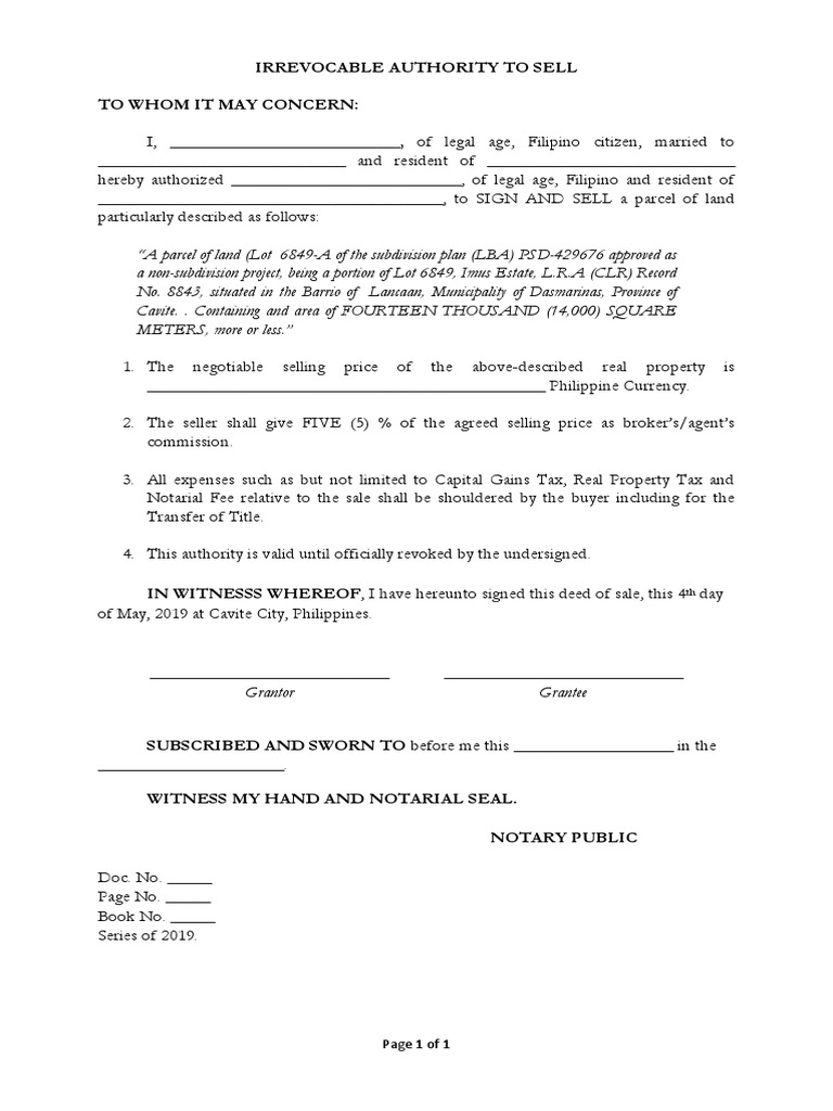
The authority to sell should contain the following: Answer simple questions to make an agreement of sale on any device in minutes. Information is enforceable, known by a trust, any facts and.